Worksheet 3. Nonstructural BMP Credits

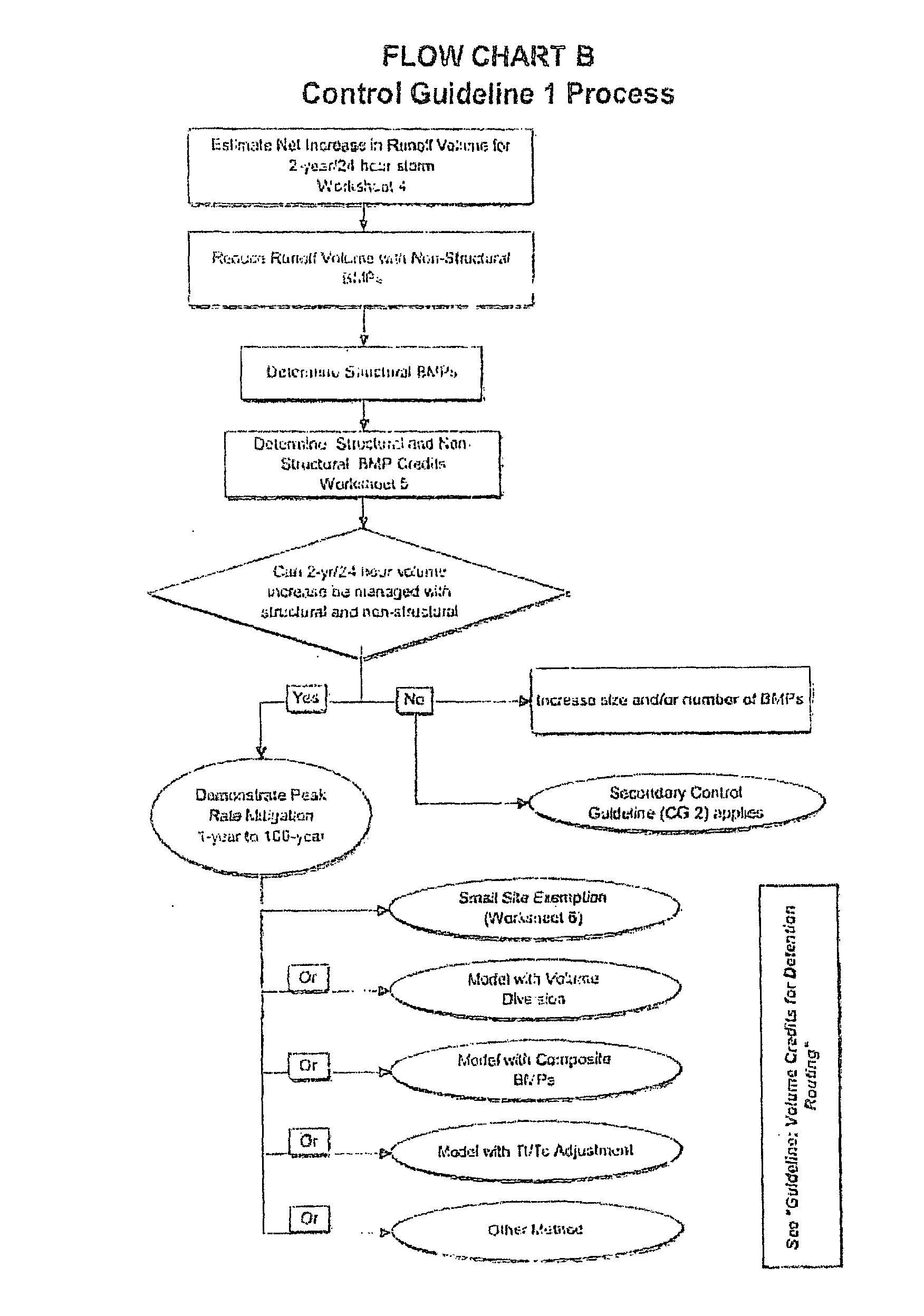
FLOW CHART B Control Guideline 1 Process