APPENDIX E NONSTRUCTURAL BMP CREDITS

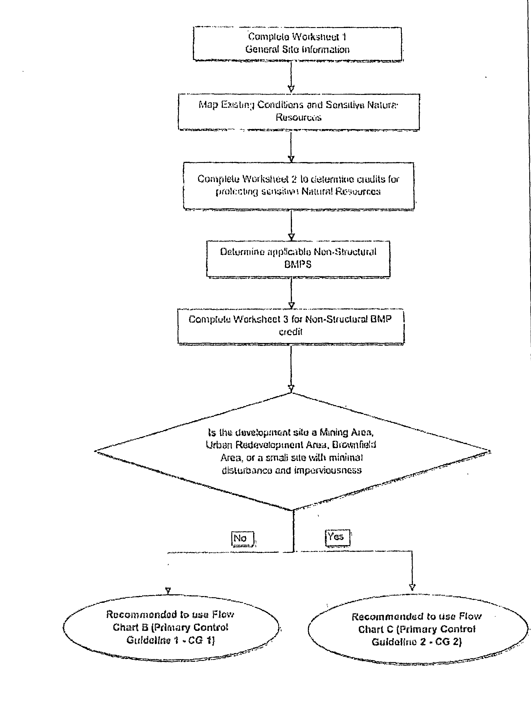
8.8 Non-Structural BMP Credits use of Non-structural BMPs is an important part of a project's stormwater management system. However, the BMPs must be correctly implemented to be effective.

For the Non-Structural BMPs applied, use the appropriate checklists to demonstrate that BMPs are applicable to project

Worksheet 3 determines the amount of Volume credit or Peak Rato credit associated with Nonstructural BMPs.

The following BMPs are "self-crediting" in that the use of those BMPs automatically provides, a reduction in impervious area and a corresponding reduction in stormwater impacts. Additionally, the use of these BMPs may he regulated by local ordinances. Local governments and reviewing agencies are encouraged to promote the use of these BMPs where feasible.

BMP 5.5.1 Cluster Uses

BMP 5.5.2 Concentrate Uses through Smart Growth

BMP 5.7.1 Reduce Street imperviousness

BMP 5.7.2 Reduce Parking imperviousness

The following BMPs provide a quantitative runoff volume reduction:

BMP 5.4.1 Protect Sensitive/Special Value Features

BMP 5.4.2 Protect/Conserve/Enhance Riparian Areas

BMP 5.4.3 Protect/Utilize Natural Flow Pathways

BMP 5.6.1 Minimize Disturbed Arca

BMP 5.6.2 Minimize Soil Compaction in Disturbed Areas

BMP 5.6.3 Re-Vegetate and Re-Forest Disturbed Areas

BMP 5.8.1 Rooftop Disconnection

BMP 5.8.2 Disconnection from Storm Sewers

References that support the quantitative BMP volume reduction are provided at the end of this chapter. No more than 25% of the Volume Reduction may ho mot through Non-Structurat BMP credits



Criteria and Credits for BMP 5.4.1 Protect Sensitive/Special Value Features

To receive credlt, the proposed areas:

[ ] Shall include natural areas of floodplains. mapped wetlands, mapped woodlands, and natural slopes over 15% and 25%.

[ ] May include other areas of significant natural resources that the applicant demonstrates are of special natural value

[ ] Shall not be disturbed during project construction (i.e., cleared or graded) except for temporary impacts associated with mitigation end reforestation efforts. Utility disturbance is discouraged and should be kept to a minimum

[ ] Shall be protected by having the limits of disturbance clearly shown on all construction drawings and delineated in the field.

[ ] Shall be located within an acceptable land preservation/protection agreement or other enforceable instrument, such as a deed restriction, that ensures perpetual protection of the proposed areas. The preservation agreement shalt clearly specify how the natural area shall be managed and boundaries will be marked with permanent survey markers.

[ ] Managed turf is riot considered an acceptable form of vegetation management.

[ ] Shall be located on the development project.

CREDITS

Volume and Quality

Protected Area is not to be included in Runoff Volume calculation

Stormwater Management Area = (Total Area - Protected Area)

Peak Rate and Channel Protection

Runoff from the Protected Area may be excluded from Peak Rate calculations and Channel Protection calculations for rate control, provided that the runoff from the protected area is not conveyed to and/or through stormwater management control structures. If necessary, runoff from Protected Areas should be directed around BMPs and stormwater pipes and inlets by means of vegetated swales or low berms that direct flow to natural drainage ways.

Criteria and Credits for BMP 5.4.2 Protect/Conserve/Enhance Riparian Areas

To receive credit, the Riparian Buffer Protection areas.

[ ] Shall include a minimum width of 25 feet from each streambank for Zone 1. Smaller Widths do not receive credit

[ ] Shall include a minimum width of 75 feet from each streambank for Zone 2. Smaller Widths do not receive credit.

[ ] Shall not be disturbed during project construction (i.e., cleared or graded) except for temporary impacts associated with mitigation and afforestation efforts. Utility disturbance is discouraged and should be kept to minimum

[ ] Areas disturbed for stream crossings (temporary or permanent) do not receive credit,

[ ] Shall be protected by having the limits of disturbance clearly shown on all construction drawings and delineated in the field.

[ ] Shall be located within an acceptable land preservation/protection agreement or other enforceable instrument, such as a deed restriction, that ensures perpetual protection of the proposed areas, The preservation agreement shall clearly specify how the Riparian Buffer shall be managed and boundaries will be marked with permanent survey markers.

[ ] Managed turf is not considered an acceptable form of vegetation management within Zone 1 or Zone 2.

[ ] Zone 1 shall not be subject to point discharges for the entire length of Zone Zone 2 shall not be subject to point discharges unless the use of a level spreader or simllar device is implemented.

[ ] Shall be located on the development project.

[ ] Forested Buffers are encouraged. See BMP 5.6.3 for Tree Planting Credit.

CREDITS

Volume and Quality

Protected Area in Zone 1 and/or Zone 2 is not to he included in Runoff Volume calculation or Water Quality volume

Mitigation Area = (Total Area Protected Area)

Peak Rate and Channel Protection

Runoff from the Protected Area may be exctude.d from Peak Rate calculations and Channel Protection calculations for rate control, provided that the runoff from the protected area is not conveyed to and/or through stormwater management control structures. If necessary. runoff from Protected Areas should be directed around BMPs and stormwater pipes and inlets by means of vegetated swales or low berms that direct flow to natural drainage ways.

Criteria and Credits for BMP 5.4.3 Protect/Utilize Natural Flow Pathways in Overall Stormwater Planning and Design

To receive credit, the proposed natural Dralnage Features:

[ ] Shall include natural swales and drainage pathways that existed prior to development and that will receive runoff from developed areas, including intermittent dminege areas and intermittent wetland depressions. Manmade drainage features are not included

[ ] May use check dams, low berms, native vegetation, end limited grading to improve natural drainage features.

[ ] Shall be designed to receive runoff such that flows after development are non-erosive. Care must be taken to maintain the non-erosive conditions and natural systems should not be overloaded.

[ ] Shall be protected from compaction or unintended disturbance during construction by having the limits of disturbance clearly shown on all construction drawings and delineated in the field.

[ ] Shall be noted on stormwater management plans as part of stormwater management system and included in any municipal easement requirements for stormwater systems. Such areas shall be noted on parcel deeds and protected from future encroachment or disturbance by deed restrictions

[ ] Shall be located on the development project.

[ ] May not include perennial streams,

[ ] Does not include Constructed Vegetated Swales and Vegetated Filter Strips

CREDITS

Volume and Quality

A.Volume Reduction may be credited based upon the area of the Natural Drainage Feature that is vegetated.

Volume Reduction (ft3) = Area x 1/4-inch runoff

= Vegetated Area of Natural Drainage Feature (ft2 x 1/4" / 12

Note: A greater volume credit may be requested by the applicant if calculations support a greater numerical value to Minimizing Soil Compaction.

Peak Rate and Channel Protection

The Peak Rate is reduced by a longer travel time of runoff through Natural Drainage Features. The Time of Travel (Tt) after development may be considered the same as the Tt before development for flows through Natural Drainage Features.

When calculating flow rates:

TtBEFORE = TtAFTER

Criteria and Credits for BMP 5.6.1 Mtniraai e Total Disturbed Area - Grading

To receive credit, areas of Minimized Disturbance/Grading must meet the following criteria:

[ ] Area shall not be subject to grading or movement of existing soils,

[ ] Existing native vegetation in a healthy condition may not be removed

[ ] Invasive non-native vegetation may be removed,

[ ] Pruning or other required maintenance of vegetation is permitted. Additional planting is permitted

[ ] Area that be protected by having the limits of disturbance clearly shown on all construction drawings and delineated in the field

[ ] The area not subject to grading shall be clearly delineated on the Stormwater Management Plan. If future grading or disturbance, of this area occurs, subsequent stormwater management must be provided to address disturbance,

[ ] Shall be located on the development project

CREDITS

Volume and Quality

Protected Area is not to be included in Runoff Volume calculation or Water Quality volume

Mitigation Area = (Total Area - Protected Area)

Peak Rate and Channel Protection

Runoff from the Protected Area (area not subject to grading) may be excluded from Peak Rate calculations and Channel Protection calculations for rate control, provided that the runoff from the protected area is not conveyed to and/or through stormwoter management control structures. If necessary, runoff from Protected Areas should be directed around BMPs and stormwater pipes and inlets by means of vegetated swales low berms that direct flow to natural dralnage ways.

Criteria and Credits for BMP 5.6.2 Minimize Soil Compaction in Disturbed Areas

To receive credit, areas or Minimal Soil Compaction must meet the following criteria:

[ ] Area shall NOT be stripped of existing topsoil.

[ ] Area shall not be subject to excessive equipment movement. Vehicles movement, storage, or equipment/material laydown shall not be permitted in area of Minimized Disturbance/Grading.

[ ] The area shall be protected by having the limits of disturbance and access clearly shown on the Stormwater tvlanagernent Plan, all construction drawings and delineated in the field.

[ ] The use of soil amendments and additional topsoil is permitted. Light grading may be done with tracked vehicles the: prevent compaction

[ ] Lawn and turf grass are acceptable uses. Planted Meadow is an encouraged use.

[ ] Area shall be located on the development project.

CREDITS

Volume and Quality

A.Volume Reduction may be credited based upon the area of Minimal Soil Compaction.

For Lawn Areas:

Volume Reduction (ft3) = Area of Min. Soil Compaction (ft2) x 1/4" / 12

For Meadow Areas:

Volume Reduction (ft3) = Area of Min. Soil Compaction (ft2) x 1/3" / 12

Note: The applicant may request a greater volume credit if calculations support a greater numerical value to Minimizing Soil Compaction.

Peak Rate and Channel Protection

The Peak Rate for flood protection and channel protection will be reduced by the reduction in runoff volume provided above.

Criteria and Credits for BMP 5.6.3 Re-Vegetate and Re-Forest Disturbed Areas, Using Native Species

This BMP Includes both Protection of Existing Trees and Re-forestation:

Part 1 Protect Existing Trees

To receive credit for protecting existing trees NOT located within Sensitive/Special Value areas, the following criteria must he met:

[ ] Trees shell be protected by having the limitS of disturbance clearly si Mtn on al! constructron drawings and delineated ln the field

[ ] Protection during construction shall entail minimizing disruption of the root system; construction shall not encroach within a space measured 10 feet outside or the drip line to the tree trunk.

[ ] Trees credited for stormwater management shall be clearly labeled on the construction drawings and recorded on Record Plan for project.

[ ] Trees shall be maintained and protected for the life of the project (50 years) or until redevelopment occurs

[ ] No more than 25% of the runoff volume can be mitigated through the use of trees

[ ] Pruning or other required maintenance or existing vegetation is permitted for safely purposed only, unless near a building

[ ] Escrow shall be provided fer the replacement or any protected trees used for stormwater credit that die within 5 years of construction. Dead frees shall be replaced within 6 months.

[ ] Shall be located on the development project.

[ ] Existing tree canopy must ha within 100 feet of impervlous surfaces to gain credit,

[ ] Only applies tor trees outside Sensitive/Special Value areas,

[ ] Applies to existing trees of 4-inch caliper or larger. Non-native species are not applicable.

CREDITS

Volume and Quality

A.Volume Reduction may be credited based upon the existing tree canopy,

For Trees within 100 feet of impervious cover

Volume Reduction (ft3) = Existing Tree Canopy (ft2) x 1/2" 12

Peak Rate and Channel Protection

The Peak Rate for flood protection and channel protection will he reduced by the reduction in runoff volume provided above.

Part 2 Revagetate and Reforest

To receive credit for planting trees, the following criteria must be met:

[ ] Trees must be native species (see Appendix). minimum 2' caliper. Minimum tree height is 6 feet.

[ ] Trees shall be adequately protected during construction.

[ ] Trees credited for stormviater management shall be clearly labeled on the construction drawings and recorded on Record Plan for project

[ ] Trees shall be maintained and protected for the life of the project (50 years) or until redevelopment occurs.

[ ] No more than 25% of The runoff volume can be mitigated through the use of trees.

[ ] Escrow shall be provided for the replacement of any protected trees used for stormwater credit that die within 5 years of construction. Dead trees shall be replaced within 6 months.

[ ] Shall be located on the development project.

[ ] May be applied for trees required under Street Tree or Landscaping requirements.

[ ] May be applied for trees planted as part of Riparian Buffer improvement.

[ ] Non-native species are not applicable.

CREDITS

Volume and Quality

A.Volume Reduction may be credited based upon the existing tree canopy.

For Deciduous Trees:

Volume Reduction (ft3) = 6 ft3



For EvergreenTrees:

Volume Reduction (ft3) = 10 ft3

Peak Rate and Channel Protection

The Peak Rate for flood protection and channel protection will be reduced by the reduction in runoff volume provided above.

Criteria and Credits for BMP 5.8.1 Rooftop Disconnection

To receive credit, Rooftop Disconnection Arens must meet the following criteria:

[ ] Roof leaders are directed to a pervious area where runoff can either infiltrate into the soil or filter over it.

[ ] Shall be located on the development project.

[ ] The use of soil amendments an additional topsoil is permitted

[ ] Lawn and turf grass are acceptable uses. Planted Meadow is an encouraged use

[ ] Shall be noted on stormweter management plans as part of stermwater management system and included in any municipal easement requirements for stormwater systems,

[ ] Rooftop cannot he within a designated hotspot

[ ] Disconnection shall not cause basement seepage.

[ ] The contributing rooftop area to each disconnection point shall be 500 sf or less. For greater areas, see BMP 6.20 Level Spreader.

[ ] The length of the disconnection shall be 75 feet or greater.

[ ] Dry wells, french drains, recharge gardens, infiltration trenches/beds, or other similar storage devices may be utilized to compensate far areas with disconnection lengths less than 75 feet, (Do not credit BMP 5.11)

[ ] In residential development applications, disconnections will only be credited for lot sizes greater than 6000 sf.

[ ] The entire vegetated "disconnection" area shall have a maximum slope of 5%.

[ ] The disconnection must drain continuously through a vegetated swale filter strip to the property line or BMP,

[ ] Roof downspouts shall be at least 10 feet away from the nearest impervious surface to discourage "re-connections

[ ] For rooftops draining directly to a buffer, only the rooftop disconnection credit of the buffer credit may be used, not both.

CREDITS

Volume and Quality

Volume Reduction (ft3) Contributing Rooftop Area (ft2) x 1/4" / 12

Note: The applicant may request a greater volume credit if calculations support a greater numerical value to Minimizing Soil Compaction.

Peak Rate and Channel Protection

The Peak Rate for flood protection and channel protection will be reduced by the reduction in runoff volume provided above.

Criteria and Credits for BMP 5.8.2 Disconnection from Storm Sewers

To receive credit, the following must be met:

[ ] Runoff from the non-roottop impervious cover shall be directed to pervious areas where it is infiltrated into the sort

[ ] May include Vegetated Swales as outlined in BMP 6.8.

[ ] May include check dams, low berms, native vegetation, and limited grading to improve natural drainage features.

[ ] Shall be designed such that flows after development are non-erosive.

[ ] Shall be protected from compact on or unlntended disturbance during construction by having the limits of disturbance clearly shown on all construction drawings and delineated in the field.

[ ] Shall be noted on stortnwalor management plans as part of stormwater management system and included in any municipal easement requirements for stormwater systems

[ ] Shall be located on the development project.

[ ] Runoff cannot originate from a designated hotspot.

[ ] The maximum contributing impervious flaw path length shall be 75 feet.

[ ] The disconnection shall drain continuously through a vegetated swale or filter strip, or planted area to the property line or BMP.

[ ] The length of the disconnection area must be at the least the length of the contributing area

[ ] The entire vegetated "disconnection" area shall have a maximum slope of 5%.

[ ] The contributing impervious area to any one discharge point shall not exceed 1000

[ ] Disconnections are encouraged on relatively welt-draining soils (HSG A & B)

[ ] If the site cannot meet the required disconnect length, a level-spreading device, recharge garden, infiltration trench, or other storage device may be needed for compensation.

CREDITS

Volume and Quality

Volume Reduction (ft3) = Contributing Impervious Area (ft2) x 1/4" / 12

Note: A greater volume credit may be requested by the applicant if calculations support a greater numerical value to Minimizing Soil Compaction.

Peak Rate and Channel Protection

The Peak Rate for flood protection and channel protection will be reduced by the reduction in runoff volume provided above.

Supporting Documentation

Natural Drainage Swafes (BMP 5.4.3}

Headwater streams and wetlands have a particularly important role to play in recharge. These smallest upstream components of a river network have the largest surface area of soil in contact with available water, thereby providing the greatest opportunity for recharge of groundwater. Moreover, water level in heachreater streams is often higher than the water table, allowing water to flow through the channel bed and banks into soll and groundwater Such situations occur when water levels are high, such as during spring snowmelt or rainy seasons " "Headwaters can be intermittent streams that flow briefly when snow melts or after rain, but shrink in dry times to become individual pools filled with water wetlands are depressions in the ground that hold water whether from rainwater, snowmelt or groundwater welling up to the surface."

The scientific imperative for Defending Small streams and Wetlands Judy L. Meyer, PhD. et al, American Rivers, September 2003



Trees (BMP 5.6.3)

"Besides taking in carbon dioxide and putting out oxygen, trees have an enormous impact on temperature. As much as 90 percent of the solar energy is absorbed. Trees also cool by transpiration, the evaporation of water from their leaves. A medium sized tree can move more then 500 gallons of water into the air on a hot day, thereby reducing air temperature."

The Natural Habitat Garden by Ken Druse with Margaret Roach, Timber Press 2004.

500 gal = 66.8 cl

Volume Credits (BMPs 5.4.3; 5.6.2; 5.8.2)

Protect natural drainage ways, avoiding compaction, and disconnecting impervious areas all contribuln to a reduction in the volume of runoff and the rate of runoff. The amount of reduction will vary depending on the site-specific conditions, including soil type, cover, etc. The designer may request additional volume credit by providing supporting calculations. The following table compares the difference in runoff volume for protected versus disturbed area for three storm events (1.5-inch, 2.7-inch, and 3.3-inch) for different soil types using the Cover Complex Method.