APPENDIX D NONSTRUCTURAL STORMWATER MANAGEMENT ALTERNATIVES

Nonstructural Stormwater Management BMPs and Stormwater Methodological Issues

Chapter 8 of the Pennsylvania Stormwater Best Management Practices Manual, December 2006, provides a variety of straightforward and conservative ways to take credit for applying Nonstructural BMPs, provided that the "specifications" defined for each BMP is Chapter 5 of the manual are followed.

Because so many of the Nonstructural BMPs seem so removed from the conventional practice of stormwater engineering, putting these BMPs into play may be a challenge. Many of these Nonstructural BMPs ultimately require a more sophisticated approach to total site design. Some of the Nonstructural BMPs don't easily lend themselves to stormwater calculations as conventionally performed. How do we get stormwater credit for applying any of these techniques? Taking BMPs 5.6.1 and 5.6.2 as examples, minimizing impervious cover by reducing road width or impervious parking area directly translates into reduced stormwater volumes and reduced stormwater rates of runoff. Site planners and designers will also recognize that many of the other Nonstructural BMPs, such as clustering of uses, conserving existing woodlands and other vegetative cover, and disconnecting impervious area runoff flows, all translate into reduced stormwater volume and rate calculations. As such, these BMPs are self crediting (refer Chapter 5 of the manual).

(Reference: Pennsylvania Stormwater Best Management Practices Manual, December 2006.)

BMP 5.4.1: Protect Sensitive and Special Value Features

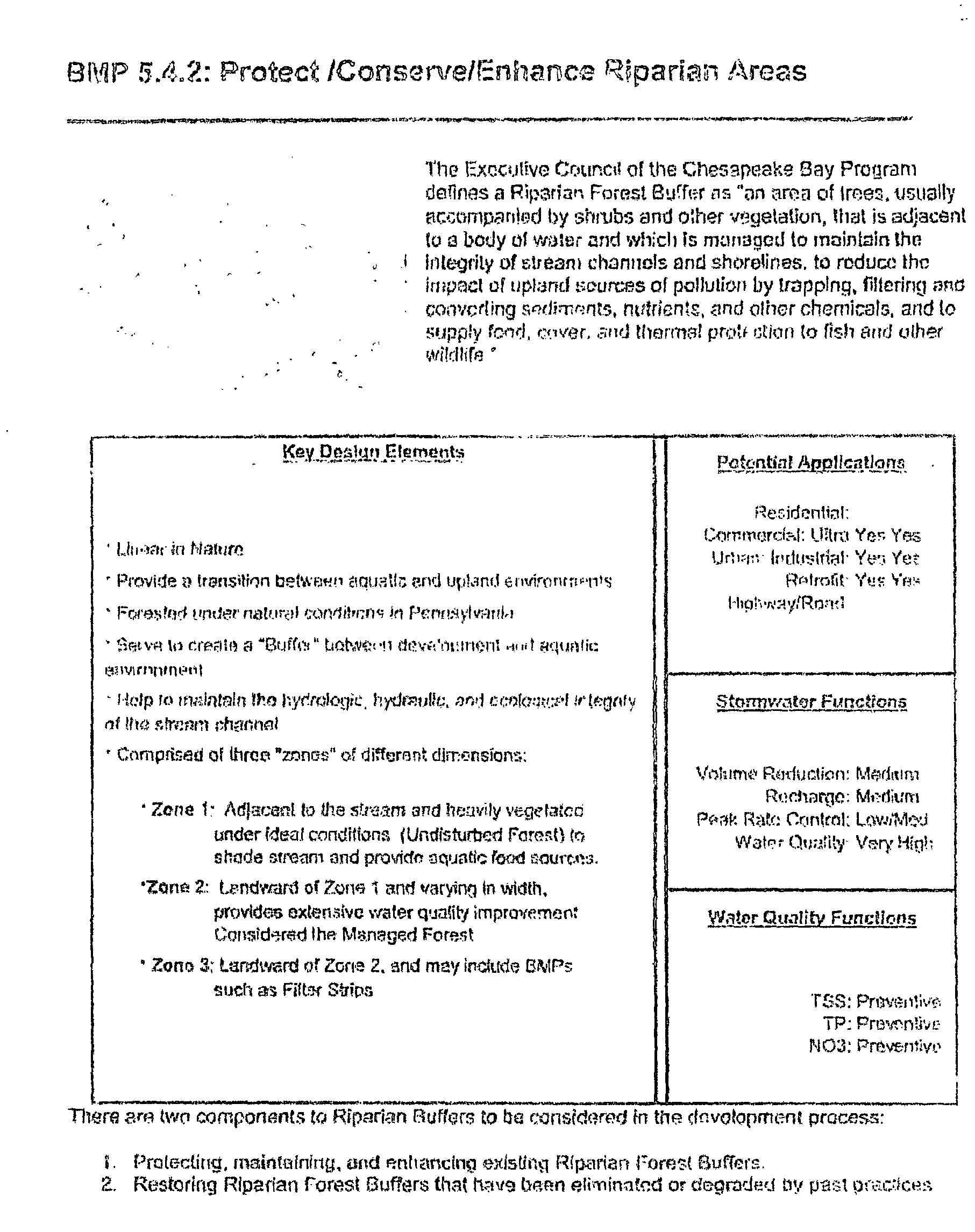
BMP 5.4.2: Protect /Conserve/Enhance Riparian Areas